Project Details

Demo interactions

Drag Sliders Use Arrows Switch view
img1

ConceptsTheory and principles behind diffusion

img2

RAW Data: DWI How to represent Medical Image Data

img3

Conversion: DWI to DTI How to obtain diffusion characteristics

img4

Scalar IndexesRepresenting Data in a Visual Way

img5

Colormaps What are they and what's the utility?

img6

Glyphs Visualizing Tensors in a Straightfoward Way

img7

Tractography Visualizing Brain Fibers, a medical revolution

Concepts Theory and principles behind diffusion

Diffusion is a complex motion of molecules, you can see below a simulation showing the difference between diffusion of molecules inside a restricted environment, on the left, and a non-restricted diffusion, on the right.

Particles or molecules in a fluid (liquid or gas) collide randomly with one another and with other molecules, a phenomenon called Brownian motion and their movement can be influenced by the temperature, environment structure, density of molecules, among others. The geometrical properties of the environment determine the rate and orientation of diffusion, when no boundaries restrict water movement, the diffusion is the same in all directions of space and is called isotropic. On the other hand, in a tight path, as an example, the diffusion will be greater in the unobstructed orientation, referred as anisotropic.

The diffusion can be represented mathematically by a tensor, wich can be expressed as a 3x3 matrix. Ultimately, a diffusion ellipsoid is modeled, with possibly different semiaxes lengths given by the matrix's eigenvalues, the eigenvectors are orthogonal and represent the directions of the ellipsoid's axes [1]. The ellipsoids in the animation represent the diffusion ellipsoid of the molecules in each case.

In human tissues, cell membranes, large protein molecules and fibers limit the motion of water molecules. Therefore measuring diffusion directionality can reveal information about the tissues' path and connections [2].

RAW Data How to understand Brain microstructure

Diffusion Weighted Image (DWI) shows contrast based-on diffusion differences of water molecules inside the brain.

DWI acquisition

The diffusion represents random thermal motion of the molecules, also known as Brownian motion. It depends on the various factors as molecule type at study, temperature and the micro-environment in which diffusion takes place [1]. In a fibers bundle, the effective molecular diffusion is greater in direction along the fiber than in orthogonal direction to fiber. This type of diffusion is known as anisotropic diffusion in contrast to isotropic diffusion [2].

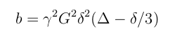
DWI acquisition is done applying two magnetic field gradients: the first one causes phase shifts in the molecules while the second one cancel these shifts reorienting stationary spins. Reorientation to the initial state will not be perfect for molecules that have moved during lapse between gradients. This "not perfect reorientation" causes a signal loss. The signal loss magnitude is determined by the degree of random movement (given by environment diffusion coefficient) and the gradients intensity and duration. The loss signal magnitude can be improved increasing intensity and duration of the gradients.

Signal loss
Diffusion coeficient

Where A represents the signal loss, D is the diffusion coefficient and b is a variable that depends of the applied gradients. So, in DWI, the signal intensity per voxel is the signal intensity without applied gradient (IS0: = 0s/mm2) reduced by the signal loss A. In presence of anisotropy, in order to achieve tissue full characterization gradients in various directions are applied obtaining a intensity 3D map in each direction (ISn).

DWI intensity

B0 Gradient (IS0)

Sagittal View
Coronal View
Axial View

Gradient 15 (IS15)

Sagittal View
Coronal View
Axial View

Conversion DWI to DTI How to obtain diffusion characteristics

From the diffusion-weighted signals, information about the diffusivity of the water molecules in the tissues can be obtained after the application of a processing on the generated signals. This processing consists in estimating for each voxel a diffusion tensor D that best synthesizes all the measured diffusion-weighted signals. This estimation is based on the Stejskal-Tanner's equation [2]

and the logic used to obtain it can be found in [1]. In this equation, S is usually defined as the diffusion-weighted signal measured with a diffusion weighting factor b > 0 and a gradient in the direction g = [gx; gy; gz]T (the index T stands for the vector transpose, making it a column vector), S0 is a signal without weighting (b = 0) and D is the desired tensor.

The desired tensor D is a symmetric matrix of order 2. Thus, Dij = Dji:

Through the diagonalization, the tensor D is decomposed into three eigenvalues λ1, λ2 e λ31 > λ2 > λ3) and their respective eigenvectors e1, e2 e e3. The eigenvalues are diffusion coefficients in the directions of diffusion indicated by eigenvectors. To determine the tensor D, at least 1 volume without weighting and at least 6 volumes of DWI is required. This is due to the fact that, because it is symmetrical, there are only 6 elements to be discovered: Dxx, Dyy, Dzz, Dxy, Dxz and Dyz.

In order to find the best solution for the Stejskal-Tanner's equation, several methods of regression are available in the literature to estimate these six elements. [3] separates these methods into four classes: maximum likelihood, least squares, Bayesian, and robust approaches. Among them, those based on least-squares regression are the most popular. In addition, a linear least squares approach, linearly weighted and non-linear [4,5] is also distinguished. On the other hand, the most recommended models are those that use robust approaches [6] able to identify and exclude discrepant values from the estimation process.

Scalar Indexes Representing Data in a Visual Way

Scalar indexes are values that encapsulate the computed eigenvectors and eigenvalues from DTI (as discussed on previous section) in a single index. The goal is generate a speedy interpretation of the diffusion characteristics on rendered images. Many approaches have been proposed in [1]. Two main approaches [2], based on eigenvalues, are presented next, both represent the magnitude of the diffusion.

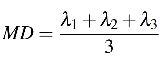
Mean Diffusivity (MD)

As the name implies, Mean Diffusivity (MD) is computed by the mean of the three eigenvalues, that is,

The result volume can be observed next.


Sagittal:
Coronal:
Axial:

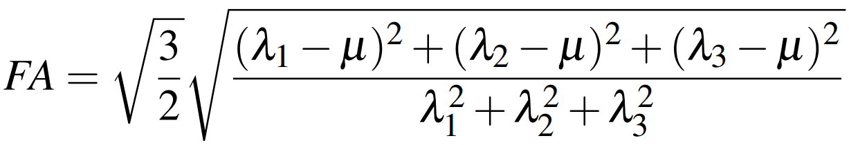
Functional Anisotropy (FA)

FA is a normalized measure of the fraction of the tensor's magnitude due to anisotropic diffusion [2], it is normalized in the range [0,1], where 0 indicates an isotropic diffusion tensor and 1 an anisotropic one, it does not contain any information about the orientation. The FA index can be computed by the following equation:

where

The result volume can be observed next.


Sagittal:
Coronal:
Axial:

The scalar index presented above are represented in gray scale, therefore, on the volumes, brighter areas represent higher anisotropic diffusion and darker areas represent isotropic regions.

These indexes do not contain any information regarding orientation, therefore a colormap can be employed to add more information over the volume. More about scalar indexes can be found on the references. Colormaps are discussed on the next section.

Colormaps What are they and what's the utility?

Colormap is, as the name suggest, a map between a variable and a color. In a 3D spatial context, the color is used to indicate a specific spatial direction, that is, a 3D spatial vector direction will be translated in a specific color. To find a correlation that bring value to the desired spatial visualization is a challenging task to designers and final users, because different choices may enhance different aspects. Below we propose a series of visual representations of different colormaps, each one is rendered in a sphere where the normal vector of a point in the surface represent the spatial direction considered on the map.

Absolute value Colormap

Please use a browser that supports "canvas"

In this colormap the absolute value of the three component of the 3D Spatial vector (x,y,z) is translated into RGB colors. It is the most one used. Its color variation in orientation is smooth, but there is a serious problem with ambiguity in spatial orientation, that is, more than one direction is mapped onto the same color.

No Simmetry Colormap

Please use a browser that supports "canvas"

This colormap does not suffer from ambiguity in orientation and its color sequence helps the mental inversion. However, it gives rise to the color discontinuity artifacts. This discontinuity can lead to misleading interpretations.

Rotational Simmetry Colormap

Please use a browser that supports "canvas"

Rotational symmetry mapping was designed to map any vector and its inverse onto the same color. The ambiguity in orientation has been perceptually ameliorated, but not eliminated

Mirror Symmetry Colormap

Please use a browser that supports "canvas"

Mirror symmetry mapping was designed to map the same color code to a vector and its mirror image with respect to the midsagittal plane. Although it can be helpful for highlighting differences between the left and right brain hemisphere, it presents problems of ambiguity in orientation, as well as of discontinuity.

Boy Surface Colormap

Please use a browser that supports "canvas"

The Boy’s Surface colormap [1] is an approach more mathematically sophisticated to map the fiber orientations onto color and to deal with the discontinuity problem. It is an almost unambiguously smooth mapping. Nevertheless, its color sequence makes it difficult the inverse mapping.

New Colormap proposed by [2]

Please use a browser that supports "canvas"

It is a novel color scheme that does not have visual discontinuities and presents a relatively unambiguous, smooth mapping between spatial orientations and colors, thus facilitating the interpretation of DTI images. It relies on familiar color sequences and simple linear interpolation, and can facilitate the study of subtle variations in diffusivity.

GlyphsVisualizing Tensors in a Straightfoward Way

The tensor glyphs are graphic objects that describe the eigenvalues and eigenvectors of a tensor [1] through their geometric (for example, shape) and graphical (for example, color) properties. The properties of a tensor can be more easily analyzed by linking them to the domain proposed by Westin et al. [2] that encompasses all the geometric forms that a glyph can take [3].

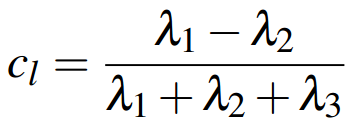
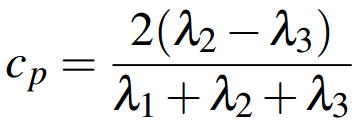
The eigenvalues tell us the diffusivity in the direction of their respective eigenvectors. According to their relations, the diffusion type can be divided into three basic classes: linear (λ1 >> λ2 ≈ λ3), planar (λ1 ≈ λ2 >> λ3), and spherical (λ1 ≈ λ2 ≈ λ3) [2]. Westin et al. Also show that to expand the tensor using these three cases as a base, one can write (λ1 - λ2), (λ2 – λ3) and λ3 as the coordinates of this new base and achieve a significant geometric interpretation for the diffusion tensor. When normalizing these coordinates with respect to the sum of the eigenvalues and rearranging the normalized coordinates such that they are in the interval [0, 1] and that the sum of them is 1, we obtain

Planar
Linear
Spherical
Glyph classes.

which define a barycentric parametrization of a triangular domain with the linear, planar and spherical cases at the ends, as shown in Figure below. Through this triangular domain, we can obtain all the different forms that a glyph can assume based on eigenvalues.

Nowaday, the main glyphs used are cuboid, cylinder, ellipsoid and superquadric. Cuboids, shown in Figure (a), can express through the orientation of their faces and their size, respectively, the directions of diffusion and diffusivity. The disadvantage of cuboids is their flat faces that make it difficult to perceive their 3D geometry in a 2D plane, which can lead to misinterpretation [1]. Cylinders, shown in Figure (b), express the main direction of diffusion through its axis. Its disadvantage is the sudden rotation of 90 degrees in its shape, causing discontinuities in the visualization [4]. Ellipsoids, shown in Figure (c), are the most commonly used tensor glyphs and represent the main direction of diffusion through their orientation. They have a rotational symmetry that avoids incorrect interpretation of the orientation [1], but some of its different forms may have similar appearance from a certain point of view [3].


(a)Cuboid
(b)Cylinder
(c)Ellipsoid
(d)Superquadric
Glifos de tensor.

In order to overcome the disadvantages raised by the proposed glyphs, Kindlmann presented the superquadric glyphs for diffusion tensors with the use of superquadric functions [3]. In these new glyphs, he was able to combine the positive characteristics of cuboid, cylindrical, and ellipsoid glyphs. Figure (d) illustrates the superquadric glyphs.


λ1:
λ2:
λ3:

Cl:
Cp:
Cs:
Please use a browser that supports "canvas"

One problem that the glyphs have is that they expose the individual characteristics of diffusivity of the tensors of the samples. They do not give the overall notion of continuity that deals have. Tractography is a response to this deficiency. Although this work proposes to develop a system of visualization of diffusivity tensors by colored glyphs, we will, by completeness, make a brief presentation of tractography.

Tractography Visualizing Brain Fibers

Tractography is a visual representations of brain white matter fiber anatomy, as such, explore the next visualization to observe some neural connections before anything else.

The estimation of a fiber tract is based on the Tensor information, so to construct a single fiber, it’s necessary to start from a predefined voxel (seed) and start connecting adjacent voxels in a manner that represent the fiber trajectory. A deterministic [1] or probabilistic [2] approach may be used to select the next voxel to be added.

Those local approaches have limitations regarding decisions about termination criteria and ill defined regions, such as crossing, kissing, fanning and bending. The figure below exemplifies those cases [3], where tensor information cannot give accurate information.

Different fibers Orientations and respective Tensors

An attempt to overcome those limitations are proposed in the global methods [4] [5], where instead of building fibers individually, all fibers are considered at same time and the solution that best fit the data is chosen. Those methods present more complexity and, therefore, are slower in comparison to local methods. Further considerations about tractography, such as limitations, visualization pipelines and evaluation can be found on [6], [7] and [8].

The visualization below is an extraction from the above, but only fibers bigger than 70mm in length are displayed. It’s easier to observe the connections from both hemispheres and the extent of some lateral fibers.

Tractography is a valuable tool for neurosurgery planning and evaluation, it is an open research area, where new methods are being developed and improved. Machine Learning Algorithms, Artificial Fibers and Fast Rendering Techniques are some of the most promising technologies that may increase even more this important visual tool.